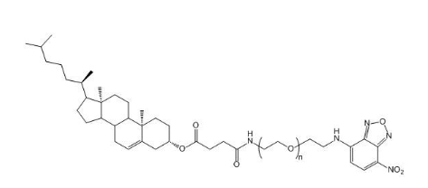
CLS-PEG-NBD;胆固醇-聚乙二醇-硝基苯恶二唑;Cholesterol-PEG2000-NBD
发布时间:2023-05-24  作者:zyl  分享到:
英文名:Cholesterol-PEG-NBD ,CLS-PEG-NBD
中文名:胆固醇-聚乙二醇-NBD
分子量:1000,2000,3400,5000,10000,20000(可按需定制)
端基取代率:>>95
外形颜色:固体/粉末
包装规格:1g,5g,10g等 ,包装灵活,可以进行相应的封装
储存条件:-20℃,干燥,避免频繁解冻和冷冻,
溶解性:溶于大部分有机溶剂,溶于水
产品可定制:根据需要的试剂进行定制,具体的可以线上和商家沟通

产品描述:
胆固醇和NBD功能化聚乙二醇,胆固醇-PEG-NBD是一种荧光脂质膜探针。NBD的激发/发射波长为460nm/535nm。聚乙二醇化胆固醇NBD是水溶性的,可以直接在水性缓冲液中使用,而不需要添加有毒的有机溶剂。
相关产品:
DBCO-聚乳酸-羟基乙酸共聚物
1-棕榈酰基-2-油酰基卵磷脂
磷脂-聚乙二醇-活性酯
绿色荧光素标记活性脂
mPEG2k-SH
依诺肝素钠偶联生物素
达肝素钠修饰生物素
肝素钠修饰生物素
fluorescein-Sialic acid
fluorescein-fucose
聚蔗糖偶联生物素




齐岳微信公众号
官方微信
库存查询