NH2-PEG2000-Cy5;花青素CY5-聚乙二醇-氨基;Cyanine5-PEG-amine
发布时间:2023-05-25  作者:zyl  分享到:
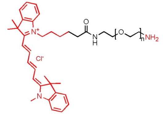
中文名称:花青素CY5-聚乙二醇-氨基
英文名称:CY5-PEG-NH2
英文别名:NH2-PEG-CY5;CY5-PEG-Amine
溶解性:水、CHCl3、二甲基亚砜
Ex/Em波长:650 nm/670 nm
活性基团:NH2
反应基团:COOH、NHS、CHO
分子量:400、600、1000、2000、3400、5000、10000
注意事项
-20℃以下保存,干燥、避光,避免频繁解冻,现配现用

产品简介:
CY5-PEG-NH2是一种活性近红外荧光PEG衍生物,激发/发射波长为650 nm/670 nm。该化合物具有很好的生物相容性和细胞毒性。当Cy5荧光团被激发到650 nm后,会发射出强烈的近红外荧光,并且胺能和各种胺反应基团发生化学反应,例如琥珀酰亚胺的NHS酯,醛类。
相关产品:
PEG-Nano gold
羧基修饰葡聚糖
磷脂-聚乙二醇-马来酰亚胺
聚乙烯亚胺聚己内酯
FITC-活性酯
Sulfo-Cyanine5.5 NHS ester
聚乙二醇包裹四氧化三铁纳米颗粒
金纳米棒
金纳米棒
磷脂-聚乙二醇-马来酰亚胺
CAS:1849616-42-7
CAS:2036272-55-4




齐岳微信公众号
官方微信
库存查询