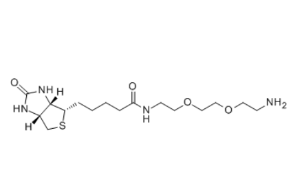
CAS:138529-46-1 生物素-PEG2-胺 的结构式
发布时间:2023-05-25     作者:LYQ   分享到:
结构式:

英文名:
生物素-PEG2-胺 CAS:138529-46-1
中文名:CAS号:604786-74-5 生物素-PEG11-胺
别名:Biotin-PEG23-amine
产品简介:
PEG修饰剂随着平均分子量的不同,性质也有差异。从无色无臭粘稠液体至蜡状固体。随着分子量的增大,其吸湿能力相应降低。

产地:西安
包装:瓶装
厂家:西安齐岳生物科技有限公司
注意:仅适用于科研实验,不可用于人体!
相关产品:
DSPE-PEG3.4K-FSHB
DSPE-PEG3.4K-MAL
DSPE-PEG3.4K-TPP
DSPE-PEG3.K-FITC
DSPE-PEG3400
DSPE-PEG3400-Angiopep-2多肽




齐岳微信公众号
官方微信
库存查询