DSPE-PEG-TCO 磷脂聚乙二醇修饰反式环辛烯 TCO-PEG-DSPE
发布时间:2023-05-25  作者:LYQ  分享到:
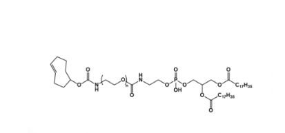
英文名:
DSPE-PEG1K-TCO
中文名:磷脂-聚乙二醇-反式环辛烯
别名:DSPE-PEG-TCO 磷脂聚乙二醇修饰反式环辛烯 TCO-PEG-DSPE
结构式:

产地:西安
包装:瓶装
厂家:西安齐岳生物科技有限公司
注意:仅适用于科研实验,不可用于人体!
我公司可以提供各种高分子PEG衍生物,分子量从1000-20000不等,涉及甲氧基PEG|氨基PEG|羧基PEG|巯基PEG|叠氮PEG|八臂PEG|四臂PEG|活性酯PEG|叶酸PEG|生物素PEG|马来酰亚胺PEG|荧光素PEG|罗丹明PEG|丙烯酸酯PEG|磷脂PEG|琥珀酰亚胺PEG|炔基PEG|羟基PEG|叶酸PEG|硅烷PEG等基团,同时我公司新推出了单分散的小分子量PEG/PEO衍生物,PEG/PEO的重复单元从2个-24个不等。
相关产品:
DSPE-PEG5000-Streptavidin
DSPE-PEG5000-TK-Paclitaxel
DSPE-PEG5000-TK-PEG
DSPE-PEG5000-TK-PEG-多肽
DSPE-PEG5000-TPP
DSPE-PEG5000-TPP
DSPE-peg5000-多肽-K-FAM




齐岳微信公众号
官方微信
库存查询