CAS:474922-22-0 DSPE-PEG-MAL 马来酰亚胺聚乙二醇磷脂 MAL-PEG-DSPE
发布时间:2023-05-25  作者:LYQ  分享到:
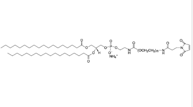
英文名:
DSPE-PEG-MAL 5k
中文名:磷脂-聚乙二醇-马来酰亚胺
别名:DSPE-PEG-MAL 马来酰亚胺聚乙二醇磷脂 MAL-PEG-DSPE
CAS:474922-22-0
结构式:

DSPE-PEG-MAL可通过PEG修饰可以增加磷脂的水溶性,使其更易与水相交互,同时将MAL引入磷脂分子中,可以用于固定蛋白质或其他含有巯基的生物分子(如SH基),从而形成稳定的偶联产物。
因此,DSPE-PEG-MAL广泛用于构建纳米粒子、胶束、脂质体等载体,并用于药物递送、生物成像、诊断等领域。
产地:西安
包装:瓶装
厂家:西安齐岳生物科技有限公司
注意:仅适用于科研实验,不可用于人体!
我公司可以提供各种高分子PEG衍生物,分子量从1000-20000不等,涉及甲氧基PEG|氨基PEG|羧基PEG|巯基PEG|叠氮PEG|八臂PEG|四臂PEG|活性酯PEG|叶酸PEG|生物素PEG|马来酰亚胺PEG|荧光素PEG|罗丹明PEG|丙烯酸酯PEG|磷脂PEG|琥珀酰亚胺PEG|炔基PEG|羟基PEG|叶酸PEG|硅烷PEG等基团,同时我公司新推出了单分散的小分子量PEG/PEO衍生物,PEG/PEO的重复单元从2个-24个不等。
相关产品:
DSPE-PEG-FA
DSPE-PEG-FA, MW:2000
DSPE-PEG-FA,MW: 5000
DSPE-PEG-FITC




齐岳微信公众号
官方微信
库存查询