COOH-PEG-SH 羧酸-聚乙二醇-巯基 COOH-PEG3400-SH
发布时间:2023-05-25  作者:LYQ  分享到:
产品化学性质:
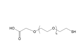
COOH-PEG-SH是一种杂双功能聚乙二醇聚乙二醇酰化试剂,每个PEG末端都含有一个硫醇和羧基。羧基可以与氨基生成酰胺键,也可以与羟基发生酯化反应。
巯基可用于金属表面结合和其他化学反应。巯基和羧基之间的PEG连接剂具有更好的水溶性、柔性连接距离和提高稳定性。这些双功能巯基聚乙二醇羧基可用于蛋白质、抗体、肽、金纳米粒子和许多其他材料的改性。
英文名:
COOH-PEG2000-SH
中文名:羧基-聚乙二醇-巯基
别名:COOH-PEG-SH 羧酸-聚乙二醇-巯基 COOH-PEG3400-SH
结构式:

产地:西安
包装:瓶装
厂家:西安齐岳生物科技有限公司
注意:仅适用于科研实验,不可用于人体!
我公司可以提供各种高分子PEG衍生物,分子量从1000-20000不等,涉及甲氧基PEG|氨基PEG|羧基PEG|巯基PEG|叠氮PEG|八臂PEG|四臂PEG|活性酯PEG|叶酸PEG|生物素PEG|马来酰亚胺PEG|荧光素PEG|罗丹明PEG|丙烯酸酯PEG|磷脂PEG|琥珀酰亚胺PEG|炔基PEG|羟基PEG|叶酸PEG|硅烷PEG等基团,同时我公司新推出了单分散的小分子量PEG/PEO衍生物,PEG/PEO的重复单元从2个-24个不等。
相关产品:
DSPE-SS-PEG1000-FITC
DSPE-SS-PEG1k-FITC
DSPE-S-S-PEG1K-FITC
DSPE-S-S-PEG2000-azide
DSPE-SS-PEG2000-FITC
DSPE-S-S-PEG2000-N3




齐岳微信公众号
官方微信
库存查询