DSPE-PEG-FITC 荧光素聚乙二醇磷脂 FITC-PEG-DSPE
发布时间:2023-05-25  作者:LYQ  分享到:
英文名:
DOPE-PEG2000-FITC
中文名:磷脂-聚乙二醇-荧光素
别名:DSPE-PEG-FITC 荧光素聚乙二醇磷脂 FITC-PEG-DSPE
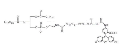
结构式:

DSPE- peg -FITC是一种具有DSPE磷脂和荧光素FITC染料性能的线性异双功能聚乙二醇化试剂。
DSPE-PEG-FITC中所含的荧光素是制备接枝或聚乙二醇化脂质体或胶束的**自组装试剂。可与脂质双分子层靶向给药,提高药物溶解度,延长循环半衰期,减少非特异性蛋白结合或细胞粘附,非共价结合的靶向分子包括抗体、适配体、蛋白质和多肽。
产地:西安
包装:瓶装
厂家:西安齐岳生物科技有限公司
注意:仅适用于科研实验,不可用于人体!
西安齐岳生物科技有限公司提供各种合成磷脂,高分子PEG衍生物,小分子聚乙二醇,USPIO超顺磁性氧化铁纳米颗粒,纳米金,纳米金棒,树枝状聚合物,荧光染料及交联剂等等产品。
相关产品:
dspe-TK-peg
dspe-tk-peg
DSPE-TK-PEG
dspe-tk-peg
DSPE-TK-PEG MW:2000
DSPE-TK-PEG MW:2K
DSPE-TK-PEG MW:2K
DSPE-TK-PEG MW:3400




齐岳微信公众号
官方微信
库存查询