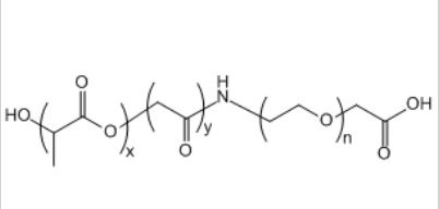
PLGA-PEG-COOH,聚乳酸-羟基乙酸共聚物-聚乙二醇-羧酸,PLGA20K-PEG5K-COOH(50/50)
发布时间:2023-05-25     作者:axc   分享到:
PLGA-PEG-COOH,聚乳酸-羟基乙酸共聚物-聚乙二醇-羧酸,PLGA20K-PEG5K-COOH(50/50)
PLGA 为浅黄色或无色的物质,PLLGA 和PDLGA 为半晶体,PDLLGA 为非晶体。PLGA 的合成方法不同,其性能也不同。如直接溶液聚合合成的 PLGA熔点为 135C,玻璃化温度为 50C;同样相对分子质量 16 万的由乙交和丙交酷开环共聚合成的PLGA,其熔点为 145C,玻璃化温度为 55C。
中文名称:聚乳酸-羟基乙酸共聚物-聚乙二醇-羧酸
英文名称:PLGA-PEG-COOH
PEG分子量可选:350、550、750、1k、2k、3.4k、5k
外观:固体/液体
溶解性:溶于DMSO、DMF,DCM,溶于水
纯度:95%+
储藏条件:-20℃下避光干燥保存
用途:仅用于科研,不能用于人体
厂家:西安齐岳生物

相关产品:
PLA-PEG-PEI800 聚乳酸-聚乙二醇-聚乙烯亚胺800
PLA-PEG-PEI 聚乳酸-聚乙二醇-聚乙烯亚胺
PLA-OH 聚乳酸-羟基
PITC-PEG-Oleic acid 异硫氰酸苯酯-聚乙二醇-油酸
PGA-PGA10 聚谷氨酸-聚谷氨酸
以上资料来自小编axc,2023.05.24
以上文中提到的产品仅用于科研,不能用于人体及其他用途。




齐岳微信公众号
官方微信
库存查询