FA-PEG-Thiol ;叶酸PEG巯基 ;SH-PEG-Folic acid
发布时间:2023-05-25     作者:zyl   分享到:
英文名称:Folic acid-PEG-Thiol,FA-PEG-SH
中文名称:叶酸-聚乙二醇-巯基
状态:固体或者液体,取决于分子量大小。
分子量:1K,2K,3.4K,5K,10K
溶解性:溶于大部分有机溶剂,和水有很好的溶解性。
保持条件:-20℃保存,避光,干燥。
端基取代率:95%+
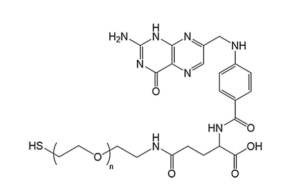
结构式:

巯基功能化PEG衍生物可以用来修改蛋白质、肽和其他材料通过氨基酸或其他酸活性化学组。PEG衍生物可以增加溶解度和稳定性,降低免疫原性的多肽和蛋白质。
相关产品:
羧基修饰外消旋聚乳酸 聚丙交酯
氨基修饰聚乳酸
PCL-PEG-PCL
PCL-PEG-COOH
DSPE-PEG-TPP
二油酰磷脂酰乙醇胺-聚乙二醇-活性酯
二硬脂酰基磷脂酰乙醇胺-聚乙二醇2000
磷脂-聚乙二醇-点击化学
二苯基环辛炔-三聚乙二醇-cRGD肽
炔基聚乙二醇巯基
叶酸聚乙二醇巯基
mPEG2000-Thiol




齐岳微信公众号
官方微信
库存查询