1445723-73-8 NHS-PEG-DSPE 磷脂聚乙二醇活性酯 DSPE-PEG-NHS
发布时间:2023-05-26  作者:LYQ  分享到:
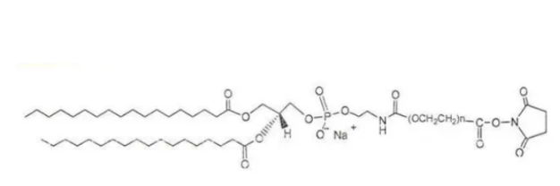
中文名称:磷脂聚乙二醇活性酯
英文名称:DSPE-PEG-NHS
英文别名:NHS-PEG-DSPE
CAS:1445723-73-8
简介:DSPE-PEG-NHS可以通过NHS与胺的反应轻松地掺入脂质体和其他纳米颗粒中, 是将抗体,蛋白质,肽或其他底物缀合到脂质体和其他脂质PEG纳米颗粒表面的最常用的反应性磷脂之一。
结构式:

其他产品推荐:
荧光素聚乙二醇1,2-二月桂酰磷脂酰乙醇胺
FITC-PEG-DLPE
荧光素聚乙二醇1,2-十四酰基磷脂酰乙醇胺
FITC-PEG-DMPE
荧光素聚乙二醇RGD
FITC-PEG-ARG-GLY-ASP
FITC-PEG-RGD




齐岳微信公众号
官方微信
库存查询