MPEG-PEI 嵌段共聚物聚乙烯亚胺 MPEG-PEI 25000
发布时间:2023-05-26     作者:LYQ   分享到:
产品名称:
MPEG2K-PEI25K 甲氧基聚乙二醇-聚乙烯亚胺
英文名称:MPEG-PEI
别名:嵌段共聚物聚乙烯亚胺 MPEG-PEI 25000

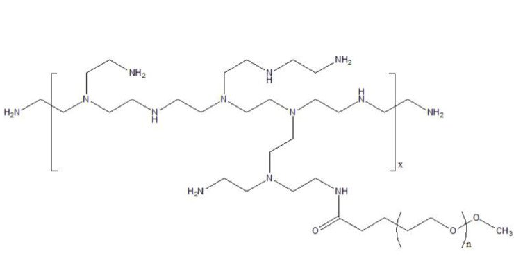
结构式:

文献:
聚乙二醇修饰的聚乙烯亚胺衍生物,由PEI-Bu溶解在碱性溶液中,与甲氧基聚乙二醇-琥珀酰亚胺碳酸酯反应得到。
PEG修饰的PEI衍生物结构简单,易于合成;与现有PEI-Bu相比,PEG修饰后的PEG-Bu在多种细胞中具有比PEI-Bu更高的转染活性,更小的细胞毒性和更好的生物相容性;与现有的PEG化PEI相比,PEG化PEI-Bu不但能降低细胞毒性,还能明显提高转染活性.是**,低毒的基因物质载体,更加适合基因物质输送。
包装:瓶装
产地:西安
厂家:西安齐岳生物科技有限公司
温馨提示:仅适用于科研实验,不可用于人体!
定制合成服务:
西安齐岳生物科技有限公司提供各种复杂的PEG衍生物定制服务,各种特殊基因,各种特殊蛋白或分子的偶联。
1. 提供各种复杂、特殊的PEG产品定制;
2. 拥有齐全的PEG产品备库可提供千余种产品种类;
3. 提供多种官能团修饰,性能好,纯度高,产品分子量可按需选择;
4. 生产工艺简化,杂质低,品质稳定,取代率纯度大于95%;
5. 批量生产,成本可控,优质售后服务。
产品推荐:
SOPE-mPEG1000
SOPE-mPEG2000
SOPE-PEG
SOPE-PEG1000
SOPE-PEG2000
SOPE甲氧基聚乙二醇
SOPE-甲氧基聚乙二醇
SOPE聚乙二醇
SOPE-聚乙二醇




齐岳微信公众号
官方微信
库存查询