DSPE-PEG-iRGD,MW:3400 磷脂PEG靶向穿膜肽iRGD
发布时间:2023-05-29  作者:zyl  分享到:
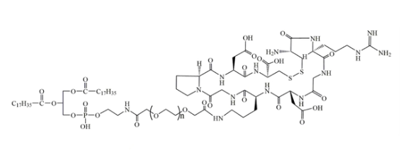
产品名称:iRGD-PEG-DSPE
中文名称:环肽iRGD聚乙二醇磷脂
英文名称:iRGD-PEG-DSPE
分子量1000
溶解度:溶于三氯甲烷/二氯甲烷等部分有机溶剂
存储条件:-20°冷冻,干燥保存
保存时间:一年
其它信息:其它包装规格,特殊分子量请咨询客服
其它分子量:2000 3400 5000 10000

产品化学性质
DSPE(1,2-二硬脂酰-sn-甘油-3-磷酸乙醇胺)是一种饱和的18碳磷脂,常用于脂质体的合成。聚乙二醇(PEG)偶联DSPE具有亲水性,可用于**传递、基因转染和生物分子修饰。
相关产品 :
二棕榈酰基磷脂酰乙醇胺
二棕榈酸磷脂酰胆碱
CAS号 145849-32-7
mPEG-PDLLA
二硬脂酰基磷脂酰乙醇胺-聚乙二醇3400
CAS:1445723-73-8
磷脂-聚乙二醇-靶向穿膜肽iRGD
MAL-PEG-NHS
CAS:170908-81-3
吲哚菁绿-聚乙二醇-二硬脂酰基磷脂酰乙醇胺




齐岳微信公众号
官方微信
库存查询