ICG-COOH;cas:181934-09-8;吲哚菁绿羧酸
发布时间:2023-05-29  作者:zyl  分享到:
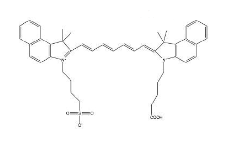
英文名:ICG-COOH
ICG Carboxlaic acid
CAS:181934-09-8
中文名:吲哚菁绿羧酸
外观:暗棕红色粉末
溶解度:在水或甲醇中溶解
纯度:90%+
结构式:

近红外荧光染料Near IRDyes激发和发射波长和颜色图
ICG NHS ester的NHS可以和蛋白、多肽或上面的NH2发生反应链接到一起。
ICG-maleimide的马来酰亚胺可以和蛋白、多肽、小分子或上的SH巯基反应连接。
ICG-Amine的NH2可以和蛋白、多肽小分子上面的NHS反应连接起来。
ICG和PEG链接可在体内长循环。
相关产品:
CAS:4004-05-1
磷脂聚乙二醇羧基
巯基偶联多肽
磷脂-聚乙二醇-荧光染料CY5.5
二硬脂酰基磷脂酰乙醇胺-聚乙二醇2000
Azide-PEG-Amine
炔聚乙二醇氨基
右旋聚赖氨酸-三苯基膦
PLL-PEG
Streptavidin-Fe3O4
金刚烷-聚乙二醇-磷酸
DSPE-PEG-Cyanine5
nano-selenium




齐岳微信公众号
官方微信
库存查询