DBCO-PEG5000-NHS 二苯并环辛炔-聚乙二醇-琥珀酰亚胺酯 Dibenzocyclooctyne-PEG-NHS
发布时间:2023-05-30     作者:LYQ   分享到:
中文名称:
二苯并环辛炔聚乙二醇活性酯
英文名称:DBCO-PEG5000-NHS 二苯并环辛炔-聚乙二醇-琥珀酰亚胺酯 Dibenzocyclooctyne-PEG-NHS
别名:二苯基环辛炔PEG琥珀酰亚胺酯
PDI:1.05max
取用:现配现用
端基取代率:≥95%
储存条件:-25±5ºC下惰性气体封存,尽量避免反复解冻
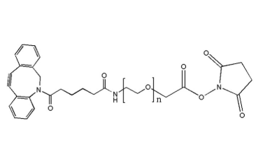
结构式:

二苯并氰基(DBCO)PEG-NHS衍生物可以在不需要任何金属催化剂的情况下进行点击化学反应。该菌株促进了环辛烯和叠氮化物的1,3-偶极环加成,也称为无铜点击反应,是一种生物正交反应,可以使两个分子在水溶液中结合。DBCO-PEG衍生物在水性缓冲液中具有快速的动力学和稳定性。
DBCO试剂可用于自发标记叠氮化物修饰的生物分子,而不需要有毒的Cu催化剂。聚乙二醇化可以增加肽和蛋白质的溶解度和稳定性,降低免疫原性。它还可以抑制带电分子与修饰表面的非特异性结合。
包装:瓶装
产地:西安
厂家:西安齐岳生物科技有限公司
温馨提示:仅适用于科研实验,不可用于人体!
西安齐岳生物科技有限公司供应定制合成磷脂、PEG磷脂、两亲嵌段共聚物,磁性纳米颗粒,纳米金,荧光量子点及树枝状聚合物、PEG衍生物等等产品.可供常规磷脂单体、PEG磷脂,改性磷脂,磷脂、聚合物磷脂、磷脂偶连无机纳米材料及微球类材料、单分散小分子PEG磷脂偶连产品,还可根据客户需要定制合成复杂及特殊的聚合物磷脂产品。
产品推荐:
磷脂聚乙二醇花菁染料Cy7
磷脂-聚乙二醇-花菁染料Cy7
磷脂聚乙二醇花青素Cy5.5
磷脂-聚乙二醇-环肽
磷脂-聚乙二醇-环肽cRGD
磷脂聚乙二醇活性酯
磷脂-聚乙二醇-活性酯
磷脂聚乙二醇抗CD133抗体




齐岳微信公众号
官方微信
库存查询