DSPE-TK-PEG MW:3400 聚乙二醇3400-TK-磷脂 DSPE-TK-PEG MW:5000
发布时间:2023-05-30     作者:LYQ   分享到:
中文名称:
聚乙二醇-TK-磷脂 磷脂-酮缩硫醇-PEG2000
英文名称:DSPE-TK-PEG MW:3400
别名: 聚乙二醇3400-TK-磷脂 DSPE-TK-PEG MW:5000
外观:粘性液体或固体粉末,取决于分子量
分子量(PEG):根据客户需求定制
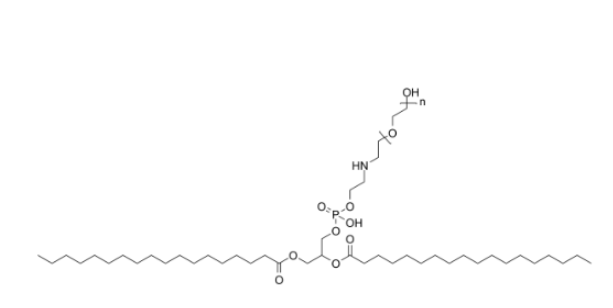
结构式:

包装:瓶装
产地:西安
厂家:西安齐岳生物科技有限公司
温馨提示:仅适用于科研实验,不可用于人体!
西安齐岳生物科技有限公司是国内的高分子聚合物合成厂家,我公司可以提供各种不同的聚合物的嵌段共聚,有均聚物,嵌段共聚物,星形聚合物等,聚合物包括有PEG、PLGA、PLA、PCL、PS、PLL,PtBA,PMMA,PAA,P4VP,P2VP,PNIPAAm,聚赖氨酸、聚谷氨酸、聚天冬氨酸、PEI、以及其他基团或者多肽聚合物,种类多,可提供定制服务。
产品推荐:
磷脂聚乙二醇酮缩硫醇聚乙二醇
磷脂-聚乙二醇-酮缩硫醇-聚乙二醇
磷脂聚乙二醇酮缩硫醇聚乙二醇多肽
磷脂-聚乙二醇-酮缩硫醇-聚乙二醇-多肽
磷脂-聚乙二醇-酮缩硫醇-紫杉醇
磷脂-聚乙二醇-酮缩硫醇-紫杉醇Paclitaxel




齐岳微信公众号
官方微信
库存查询