mPEG-b-PLGA 聚乙二醇-聚乳酸-羟基乙酸共聚物 plga-peg
发布时间:2023-05-31  作者:LYQ  分享到:
应用简介:
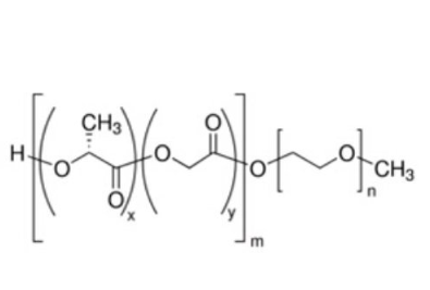
PEC-FLGA是由亲水性嵌段聚乙二醇(PEC)和流水性嵌段聚丙交酶-乙交(PLGA)组成的两亲性二嵌段共聚物。 PEC聚合物被甲基酷基封端,疏水性嵌段的未端为轻基。具有可生物降解和生物相容性聚酷链段的聚乙二醇化共聚物可用于制备核-壳胶束,纳米颗粒和微球
中文名称:
聚乳酸-羟基乙酸共聚物聚乙二醇
英文名称:mPEG-b-PLGA
别名:聚乙二醇-聚乳酸-羟基乙酸共聚物 plga-peg PEG聚乳酸-羟基乙酸共聚物
结构式:

包装:瓶装
产地:西安
厂家:西安齐岳生物科技有限公司
温馨提示:仅适用于科研实验,不可用于人体!
定制合成服务:
西安齐岳生物科技有限公司提供各种复杂的PEG衍生物定制服务,各种特殊基因,各种特殊蛋白或分子的偶联。
1. 提供各种复杂、特殊的PEG产品定制;
2. 拥有齐全的PEG产品备库可提供千余种产品种类;
3. 提供多种官能团修饰,性能好,纯度高,产品分子量可按需选择;
4. 生产工艺简化,杂质低,品质稳定,取代率纯度大于95%;
5. 批量生产,成本可控,优质售后服务。
产品推荐:
环氧化物-聚乙二醇-聚苯硫醚
Epoxides-PBA
环氧化物-聚乙二醇-苯硼酸
Epoxides-PAE
环氧化物-聚乙二醇-聚(β-氨基酯)
Epoxides-Polyacetal
环氧化物-聚乙二醇-聚缩醛




齐岳微信公众号
官方微信
库存查询