DSPE-PEG-TCO 反式环辛烯聚乙二醇磷脂 TCO-PEG-DSPE
发布时间:2023-05-31     作者:LYQ   分享到:
英文名称:
DSPE-PEG2k-TCO
中文名称:磷脂聚乙二醇反式环辛烯
别名:DSPE-PEG-TCO 反式环辛烯聚乙二醇磷脂 TCO-PEG-DSPE
反式环辛烯(TCO)是一种重要的有机合成中间体,它的化学结构是由两个环辛烯构成的反式结构。反式环辛烯(TCO)作为亲双烯体与S-四嗪(Tetrazine)在生理条件下的反应有无需催化剂、反应速率快的优点,被广泛应用于生物和的研究中。
包装:瓶装
产地:西安
厂家:西安齐岳生物科技有限公司
温馨提示:仅适用于科研实验,不可用于人体!
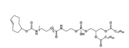
结构式:

西安齐岳生物科技有限公司可供常规磷脂单体、PEG磷脂,改性磷脂,磷脂、聚合物磷脂、磷脂偶连无机纳米材料及微球类材料、单分散小分子PEG磷脂偶连产品,还可根据客户需要定制合成复杂及特殊的聚合物磷脂产品、两亲嵌段共聚物,磁性纳米颗粒,纳米金,荧光量子点及树枝状聚合物、PEG衍生物等等产品,更有许多的库存产品可供选择,详情请咨询客服。
产品推荐:
环氧化物-聚乙二醇-甲硝唑
Epoxides-Raltitrexed
环氧化物-聚乙二醇-雷替曲塞
Epoxides-Pemetrexed
环氧化物-聚乙二醇-培美曲塞
Epoxides-sulfadimethoxine
环氧化物-聚乙二醇-磺胺地索辛




齐岳微信公众号
官方微信
库存查询