mPEG-PLA 甲氧基聚乙二醇聚乳 PLA-MPEG
发布时间:2023-05-31     作者:LYQ   分享到:
用途:
mPEG-PLA是一种嵌段共聚物,一端是亲水链段-甲氧基聚Z醇,一端是亲油链段-聚乳酸。通过调整分子量或者亲水/亲油链段比值,甲氧基聚乙二醇聚乳酸可以作为不同种类药物的载体材料,并提高药物的水溶性以及包封率和载药量。
英文名称:
mPEG5000-PLA2000
中文名称:甲氧基聚乙二醇-聚乳酸
别名:mPEG-PLA 甲氧基聚乙二醇聚乳酸 PLA-MPEG
包装:瓶装
产地:西安
厂家:西安齐岳生物科技有限公司
温馨提示:仅适用于科研实验,不可用于人体!
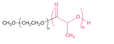
结构式:

西安齐岳生物科技有限公司可供常规磷脂单体、PEG磷脂,改性磷脂,磷脂、聚合物磷脂、磷脂偶连无机纳米材料及微球类材料、单分散小分子PEG磷脂偶连产品,还可根据客户需要定制合成复杂及特殊的聚合物磷脂产品、两亲嵌段共聚物,磁性纳米颗粒,纳米金,荧光量子点及树枝状聚合物、PEG衍生物等等产品,更有许多的库存产品可供选择,详情请咨询客服。
产品推荐:
VA-MAL
VA-PEG-Maleimide
缬草酸-聚乙二醇-马来酰亚胺
VA-NHS
VA-PEG-NHS ester
缬草酸-聚乙二醇-N-羟基琥珀酰亚胺
VA-N3
VA-PEG-azide
缬草酸-聚乙二醇-叠氮




齐岳微信公众号
官方微信
库存查询