PLGA-PEG-Biotin 聚乳酸-羟基乙酸共聚物-聚乙二醇-生物素 Biotin-PEG-PLGA
发布时间:2023-05-31     作者:LYQ   分享到:
英文名称:
PLGA-PEG-Biotin MW:12000,2000 50:50
中文名称:聚乳酸-羟基乙酸共聚物聚乙二醇生物素
别名:PLGA-PEG-Biotin 聚乳酸-羟基乙酸共聚物-聚乙二醇-生物素 Biotin-PEG-PLGA
包装:瓶装
产地:西安
厂家:西安齐岳生物科技有限公司
温馨提示:仅适用于科研实验,不可用于人体!
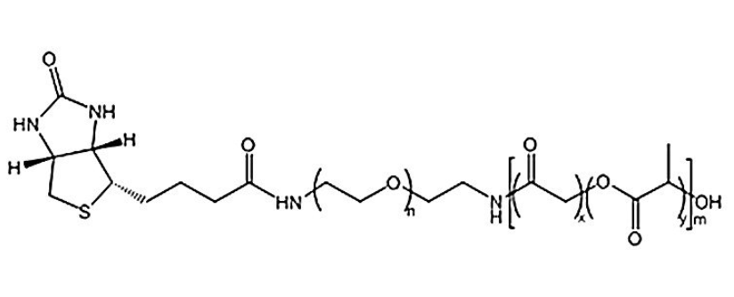
结构式:

西安齐岳生物科技有限公司可供常规磷脂单体、PEG磷脂,改性磷脂,磷脂、聚合物磷脂、磷脂偶连无机纳米材料及微球类材料、单分散小分子PEG磷脂偶连产品,还可根据客户需要定制合成复杂及特殊的聚合物磷脂产品、两亲嵌段共聚物,磁性纳米颗粒,纳米金,荧光量子点及树枝状聚合物、PEG衍生物等等产品,更有许多的库存产品可供选择,详情请咨询客服。
产品推荐:
缬草酸-聚乙二醇-多臂PEG
VA-Protected Amines (FMOC, tBOC)
VA-CHEMS
缬草酸-聚乙二醇-半琥珀酸胆固醇
VA-Phenyl
缬草酸-聚乙二醇-苯基
VA-phosphoric acid
缬草酸-聚乙二醇-磷酸




齐岳微信公众号
官方微信
库存查询