脂溶性Cy5-NH2 ;脂溶性花青素CY5标记胺;Cyanine5 amine
发布时间:2023-06-01  作者:zyl  分享到:
CY5-NH2是一种高度稳定的荧光染料,具有较高的荧光量子产率和较长的激发和发射波长,通常用于生物医学研究领域中的。
而Cy5是一种荧光染料,它可以通过氨基反应进行标记。在氨基反应中,Cy5与具有活性氨基的分子发生反应,形成氨基结合物。这种氨基结合物能够发出明亮的红色荧光,可以用于荧光检测。
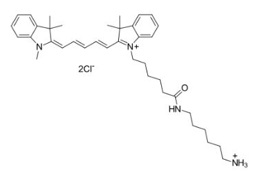
产品名称:菁染料CY5标记氨基;五甲川花菁染料标记氨基
英文名称:Cy5-amine;Cyanine5-amine;Cyanine5-NH2
CAS号:1807529-70-9
外观:深蓝色粉末/固体
分子量:653.77
分子式:C38H54Cl2N4O

激发波长:646nm
发射波长:662nm
纯度:95%+
储藏条件:-20°C 下避光保存
溶解性:在水中的溶解度适中,在有机溶剂(DMF、DMSO、醇类)中良好
相关产品:
聚(D,L-乳酸-co-乙醇酸)-聚乙二醇-琥珀酰亚胺酯
DSPE-PEG-SP94,MW:2000
二硬脂酰基磷脂酰乙醇胺-聚乙二醇-靶向穿膜肽R8
四臂PEG琥珀酰亚胺酯
二硬脂酰基磷脂酰乙醇胺-聚乙二醇-靶向穿膜肽iRGD
发远红荧光的花青素荧光染料Cyanine5 amine
FITC-活化酯/N-羟基琥珀酰亚胺
水溶性Cyanine7羧酸
cRGD-PEG2000-DSPE
DSPE-PEG2000
cy3/5/7美罗培南
PLGA-PEG-Maleimide




齐岳微信公众号
官方微信
库存查询