PLGA5k-PEG5k-MAL;马来酰亚胺-聚乙二醇-聚(D,L-丙交酯-co-乙交酯)
发布时间:2023-06-01  作者:zyl  分享到:
【化合物名称】
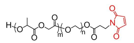
聚(D,L-乳酸-co-乙醇酸)-聚乙二醇-马来酰亚胺、PLGA-PEG-MAL
【化合物参数详情】
性状:粘稠状或者固体,取决于分子量。
溶解度:二氯甲烷、DMF、DMSO。
储存条件:-20℃干燥、避光条件下保存。
规格:50/50 75/25
分子量(PLGA):5000-30000之间定制
分子量(PEG ):2000、3400、5000,其他分子量可以定制。
为确保产品的稳定性,请注意在恒温干燥以后才能打开包装取用!

【化合物使用说明】
马来酰亚胺PEG可以修饰巯基,PEG嵌段具有亲水性,生物相容性好,无毒性,抗原性和免疫原性,易溶于水和许多有机试剂。通过PLGA共聚成PEG-PLGA,可以**延缓RES的清除,延长循环时间,降解产物为水和二氧化碳,生物相容性好。Mal基团可以用于一些特定小分子化合物的偶联合成,该类聚合物一般用于聚合物纳米粒、微球的制备。
相关产品:
四臂聚乙二醇琥珀酰亚胺酯
DSPE-PEG-iRGD
脂溶性Cyanine5-NH2
FITC-活性酯
CAS:1603861-95-5
磷脂-聚乙二醇-靶向穿膜肽cRGD
二硬脂酰基磷脂酰乙醇胺-聚乙二醇2000
荧光素标记美罗培南
马来酰亚胺-聚乙二醇-聚(D,L-丙交酯-co-乙交酯)
荧光染料Cypate bis NHS
八臂聚乙二醇羧基
二硬脂酰基磷脂酰乙醇胺-聚乙二醇2000
cy3-Arginine
CAS:4235-95-4




齐岳微信公众号
官方微信
库存查询