Rhodamine B-PEG-PLGA PLGA聚乙二醇-罗丹明B PLGA-PEG-RB
发布时间:2023-06-01  作者:LYQ  分享到:
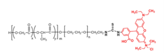
产品描述:PLGA-PEG-RB可以用于制备胶束或者囊泡等新型靶向产品,产品末端的活性基团可以链接一些修饰多肽、蛋白、糖类、叶酸或抗体等等,使其具有主动靶向作用.
聚合物包括有PEG、PLGA、PLA、PCL、PS、PLL聚赖氨酸、聚谷氨酸、聚天冬氨酸、PEI、以及其他基团或者多肽聚合物。

英文名称:
PLGA10000-PEG2000-RB,50/50 PLGA聚乙二醇-罗丹明B
中文名称:聚(D,L-乳酸-co-乙醇酸)-聚乙二醇-罗丹明B
别名:PLGA-PEG-RB Rhodamine B-PEG-PLGA
包装:瓶装
产地:西安
厂家:西安齐岳生物科技有限公司
温馨提示:仅适用于科研实验,不可用于人体!
质量:97%+
分散系数:小于等于1.05
溶剂:氯仿,DMSO等部分有机溶剂。
西安齐岳生物科技有限公司供应定制合成磷脂、PEG磷脂、两亲嵌段共聚物,磁性纳米颗粒,纳米金,荧光量子点及树枝状聚合物、PEG衍生物等等产品。
产品推荐:
VA-PLL
VA-PEG-Poly-Lysines
缬草酸-聚乙二醇-聚赖氨酸
VA-Poly-Ornithines
缬草酸-聚乙二醇-聚鸟氨酸
VA-Poly-Arginines
缬草酸-聚乙二醇-聚精氨酸
VA-Poly-Sarcosines
缬草酸-聚乙二醇-聚肌氨酸




齐岳微信公众号
官方微信
库存查询