Cholesterol-PEG-MAL 胆固醇聚乙二醇马来酰亚胺 MAL-PEG-Cholesterol
发布时间:2023-06-01     作者:LYQ   分享到:
胆固醇PEG马来酰亚胺(Cholesterol-PEG-MAL)可以用来修饰蛋白质、多肽以及其他材料或者小分子。马来酰亚胺(MAL)与巯基(-SH)在PH6.5-7.5很容易形成稳定的硫醚键。PEG修饰可提高溶解度和稳定性,减少蛋白质和肽的免疫原性。它也能抑制带电分子在修饰表面的非特异性结合。
英文名称:
胆固醇-PEG2000-mal Cholesterol-PEG-MAL
中文名称:胆固醇-聚乙二醇-马来酰亚胺
别名:胆固醇聚乙二醇马来酰亚胺 MAL-PEG-Cholesterol
包装:瓶装
产地:西安
厂家:西安齐岳生物科技有限公司
温馨提示:仅适用于科研实验,不可用于人体!
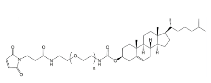
结构式:

质量:97%+
分散系数:小于等于1.05
溶剂:氯仿,DMSO等部分有机溶剂。
西安齐岳生物科技有限公司供应定制合成磷脂、PEG磷脂、两亲嵌段共聚物,磁性纳米颗粒,纳米金,荧光量子点及树枝状聚合物、PEG衍生物等等产品。
产品推荐:
缬草酸-聚乙二醇-赖氨酸
VA-threonine
缬草酸-聚乙二醇-苏氨酸
VA-leucine
缬草酸-聚乙二醇-亮氨酸
VA-valine
缬草酸-聚乙二醇-缬氨酸
VA-Tryptophan
缬草酸-聚乙二醇-色氨酸




齐岳微信公众号
官方微信
库存查询