DSPE-TK-PEG 聚乙二醇酮缩硫醇磷脂 PEG-TK-DSPE
发布时间:2023-06-01  作者:LYQ  分享到:
英文名称:
DSPE-TK-PEG2000 DSPE-TK-PEG
中文名称:磷脂酮缩硫醇聚乙二醇
别名:聚乙二醇酮缩硫醇磷脂 PEG-TK-DSPE
包装:瓶装
产地:西安
厂家:西安齐岳生物科技有限公司
温馨提示:仅适用于科研实验,不可用于人体!
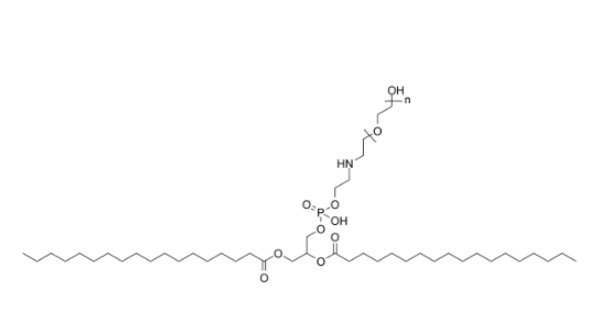
DSPE-PEG结构式:

质量:97%+
分散系数:小于等于1.05
溶剂:氯仿,DMSO等部分有机溶剂。
西安齐岳生物科技有限公司供应定制合成磷脂、PEG磷脂、两亲嵌段共聚物,磁性纳米颗粒,纳米金,荧光量子点及树枝状聚合物、PEG衍生物等等产品。
产品推荐:
缬草酸-聚乙二醇-甘氨酸
VA-serine
缬草酸-聚乙二醇-丝氨酸
Acrylamide-NH2
Acrylamide-PEG-Amine
丙烯酰胺-聚乙二醇-氨基
Acrylamide-COOH
Acrylamide-PEG-carboxyl




齐岳微信公众号
官方微信
库存查询