DSPE-PEG-Mannose 甘露糖聚乙二醇磷脂 Mannose-PEG-DSPE
发布时间:2023-06-01     作者:LYQ   分享到:
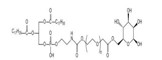
产品结构式:

产品名称:
DSPE-PEG-Mannose MW:2000 磷脂聚乙二醇甘露糖
英文名称:DSPE-PEG-Mannose Mannose-PEG-DSPE
别名:甘露糖聚乙二醇磷脂
纯度:≥97%
取用:现配现用
存储条件:-20°冷冻保存,惰性气体保护
脂质体具有低毒、易制备、既能作为水溶性药物的载体又能作为脂溶性药物的载体、适用于多种给药途径、提高药物的稳定性、实现靶向性给药等优点。但是当脂质体进入体内后,由于血浆中的调理素对脂质体的特异性调理作用,以及网状内皮系统(RES)细胞与脂质体的非特异性疏水作用,使其易被RES细胞摄取、清除,在血液循环中的半衰期较短(一般为30min),主动靶向性和稳定性较差,其应用受到限制。
包装:瓶装
产地:西安
厂家:西安齐岳生物科技有限公司
温馨提示:仅适用于科研实验,不可用于人体!
西安齐岳生物科技有限公司供应定制合成磷脂、PEG磷脂、两亲嵌段共聚物,磁性纳米颗粒,纳米金,荧光量子点及树枝状聚合物、PEG衍生物等等产品.可供常规磷脂单体、PEG磷脂,改性磷脂,磷脂、聚合物磷脂、磷脂偶连无机纳米材料及微球类材料、单分散小分子PEG磷脂偶连产品,还可根据客户需要定制合成复杂及特殊的聚合物磷脂产品。
产品推荐:
Acrylamide-DPG
丙烯酰胺-聚乙二醇-双棕榈酸甘油酯
Acrylamide-DSG
Acrylamide-DPPS
丙烯酰胺-聚乙二醇-二棕榈酰磷脂酰丝氨酸
Acrylamide-PLGA
丙烯酰胺-聚乙二醇-聚乳酸-羟基乙酸共聚物
Acrylamide-PCL
丙烯酰胺-聚乙二醇-聚已内酯




齐岳微信公众号
官方微信
库存查询