DSPE-PEG-Thiol 磷脂-聚乙二醇-巯基 DSPE-PEG2000-SH
发布时间:2023-06-02  作者:LYQ  分享到:
DSPE-PEG-SH是一种在另一个PEG末端具有巯基的活性磷脂PEG试剂。DSPE(1,2-二硬脂酰-sn-甘油-3-磷酸乙醇胺)是一种饱和的18C磷脂,常用于脂质体的合成。聚乙二醇(PEG)偶联DSPE具有亲水性。
产品名称:
DSPE-PEG-SH,MW:2000 磷脂聚乙二醇巯基
英文名称:DSPE-PEG-Thiol DSPE-PEG2000-SH
中文名称:磷脂-聚乙二醇-巯基
外观:粘性液体或固体粉末,取决于分子量
分子量(PEG):根据客户需求定制
注意事项:在干燥的环境中取用,避免频繁的溶解和冻干
溶解性:溶于大部分有机溶剂,溶于水
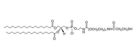
产品结构式:

产地:西安
包装:瓶装
厂家:西安齐岳生物科技有限公司
温馨提示:仅适用于科研实验,不可用于人体!
西安齐岳生物科技有限公司可供常规磷脂单体、PEG磷脂,改性磷脂,磷脂、聚合物磷脂、磷脂偶连无机纳米材料及微球类材料、单分散小分子PEG磷脂偶连产品,还可根据客户需要定制合成复杂及特殊的聚合物磷脂产品、两亲嵌段共聚物,磁性纳米颗粒,纳米金,荧光量子点及树枝状聚合物、PEG衍生物等等产品,更有许多的库存产品可供选择,详情请咨询客服。
产品推荐:
磷脂-聚乙二醇-生物素
SH-PEG2000-罗丹明
巯基聚乙二醇罗丹明
SH-PEG-Rhodamine
罗丹明聚乙二醇巯基
Rhodamine-PEG-SH
巯基-聚乙二醇-罗丹明
Thiol-PEG-Rhodamine
巯基PEG罗丹明




齐岳微信公众号
官方微信
库存查询