HA-PEG-NH2 氨基-聚乙二醇-透明质酸 HA-PEG-Amine
发布时间:2023-06-02     作者:LYQ   分享到:
产品描述:
PEG衍生物又称PEG(聚乙二醇)修饰剂,修饰性PEG等。是带有官能团的PEG,目前主要用于蛋白质物修饰,以增加体内半衰期,降低免疫原性。
产品名称:
HA5000-PEG2000-NH2 氨基功能化透明质酸聚乙二醇
英文名称:HA-PEG-NH2 HA-PEG-Amine
中文名称:氨基-聚乙二醇-透明质酸
状态:固体或粘稠液体,取决于分子量大小
保存时间 1年
端基取代率:≥95%
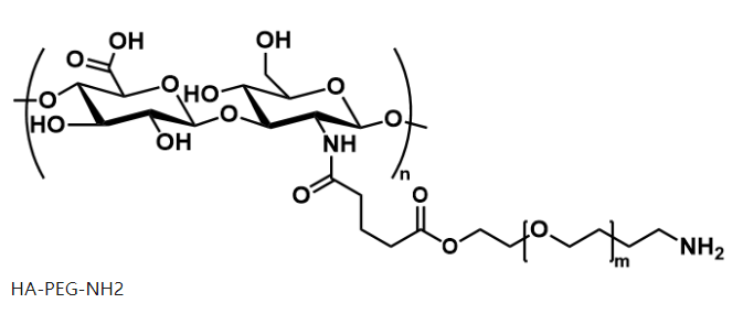
产品结构式:

产地:西安
包装:瓶装
厂家:西安齐岳生物科技有限公司
温馨提示:仅适用于科研实验,不可用于人体!
我公司可以提供各种高分子PEG衍生物,分子量从1000-20000不等,涉及甲氧基PEG|氨基PEG|羧基PEG|巯基PEG|叠氮PEG|八臂PEG|四臂PEG|活性酯PEG|叶酸PEG|生物素PEG|马来酰亚胺PEG|荧光素PEG|罗丹明PEG|丙烯酸酯PEG|磷脂PEG|琥珀酰亚胺PEG|炔基PEG|羟基PEG|叶酸PEG|硅烷PEG等基团,同时我公司新推出了单分散的小分子量PEG/PEO衍生物,PEG/PEO的重复单元从2个-24个不等。
产品推荐:
TAT-PEG-DSPE
磷脂-聚乙二醇-TAT多肽
DSPE-PEG3400-TAT
磷脂PEG多肽TAT
TAT-PEG2000-DSPE
TAT多肽PEG磷脂
PLGA-mPEG( MW,PLGA:45000 PEG:2000) 50:50
聚乳酸-羟基乙酸共聚物甲氧基聚乙二醇
PLGA-mPEG




齐岳微信公众号
官方微信
库存查询