DSPE-PEG-Mannose, MW:3400;磷脂聚乙二醇甘露糖;磷脂PEG甘露糖
发布时间:2023-06-05     作者:zyl   分享到:
产品信息
中文名称 磷脂聚乙二醇甘露糖 甘露糖聚乙二醇磷脂
简称 DSPE-PEG-Mannose Mannose-PEG-DSPE
分子量 1000、2000、3400、5000、10000
溶解度溶于 部分有机溶剂
存储条件 -20°冷冻保存,惰性气体保护
保存时间 一年
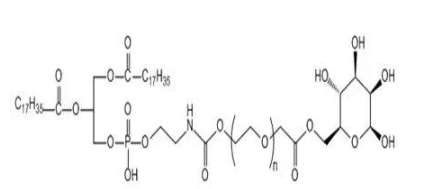
产品结构式

西安齐岳生物科技有限公司经营的产品种类包括有:原料药、抑制剂、天然产物、COF、MOF单体系列:三蝶烯衍生物、金刚烷衍生物、四苯甲烷衍生物、多胺系列、多醛系列、联吡啶衍生物、卟啉衍生物、苯乙炔衍生物等;抑制剂&染料;原料药及中间体;OLED光电材料单体系列:共轭苯衍生物、咔唑、噻吩、苯并呋喃和苝/萘酐衍生物等;聚酰亚胺系列:聚酰亚胺、二胺和二酐;有机硅系列:单体、有还原剂、保护剂和偶联剂等;可光聚合液晶小分子等。
相关产品:
二硬脂酰基磷脂酰乙醇胺-聚乙二醇-羧基
ICG-NHS
磷脂-聚乙二醇-马来酰亚胺
氨基-聚乙二醇-巯基
二棕榈酸磷脂酰胆碱
水溶性CY5 NHS酯
异硫氰酸荧光素标记牛血清白蛋白
花青染料Cy5.5标记牛血清白蛋白
活性酯-聚乙二醇-酮缩硫醇-巯基
Vitamin D-PEG-Mal
异硫氰酸荧光素标记葡聚糖
异硫氰酸荧光素标记葡聚糖




齐岳微信公众号
官方微信
库存查询