透明质酸PEG磷脂;DSPE-PEG-Hyaluronicacid;磷脂-聚乙二醇-透明质酸
发布时间:2023-06-05     作者:zyl   分享到:
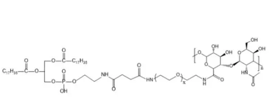
中文名称:二硬脂酰基磷脂酰乙醇胺-聚乙二醇-透明质酸
磷脂-聚乙二醇-透明质酸;透明质酸PEG磷脂
英文名称:DSPE-PEG-Hyaluronan;Hyaluronan-PEG-DSPE;DSPE-PEG-HA
状态:固体/粉末
PEG分子量:1k,2k,3.4k,5k,10k,20k其他分子量均可定制
纯度:≥98%
溶解性:具有良好的水溶性,溶于大部分有机溶剂,如:DCM、DMF、DMSO、THF等等。
储藏条件:≤-4℃低温干燥保存
保存时间:1年
用途:仅用于科研,禁用于人体实验

西安齐岳生物科技有限公司经营的产品种类包括有:原料药、抑制剂、天然产物、COF、MOF单体系列:三蝶烯衍生物、金刚烷衍生物、四苯甲烷衍生物、多胺系列、多醛系列、联吡啶衍生物、卟啉衍生物、苯乙炔衍生物等;抑制剂&染料;原料药及中间体;OLED光电材料单体系列:共轭苯衍生物、咔唑、噻吩、苯并呋喃和苝/萘酐衍生物等;聚酰亚胺系列:聚酰亚胺、二胺和二酐;有机硅系列:单体、有还原剂、保护剂和偶联剂等;可光聚合液晶小分子等。
相关产品:
mPEOz-amine
DSPE-PEG-MAL,MW:2000/5000
聚乙二醇二羧酸
甲氧基聚乙二醇-聚乳酸右旋
FA-PEG-DSPE,MW:3400
磷脂PEG甘露糖
磷脂-聚乙二醇-透明质酸
活性脂功能化葡聚糖
CAS号:9012-76-4
磷脂聚乙二醇羧基
吲哚菁绿-活性酯
DSPE-PEG-MAL,MW:2000/5000
Amine-PEG-Thiol
Colfosceril palmitate
CAS号 2230212-27-6




齐岳微信公众号
官方微信
库存查询