RGD靶向肽-PEG-DSPE 磷脂PEG靶向肽 DSPE-PEG2K-RGD靶向肽
发布时间:2023-06-06  作者:LYQ  分享到:
产品名称:
磷脂PEG靶向肽 DSPE-PEG2K-RGD靶向肽
英文名称:RGD靶向肽-PEG-DSPE
中文名称:靶向肽PEG磷脂 靶向肽聚乙二醇磷脂
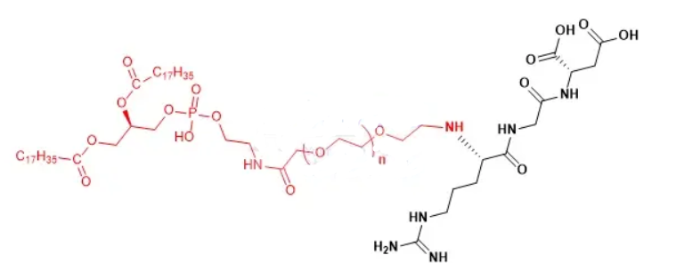
产品结构式:

产地:西安
包装:瓶装
厂家:西安齐岳生物科技有限公司
温馨提示:仅适用于科研实验,不可用于人体!
产品介绍:
RGD是由Arg-Gly-Asp 三个氨基酸组成的**新生血管靶向肽,RGD肽靶向**血管细胞中高表达的整合素黏附分子avβ3 ;DSPE-PEG-RGD可以用来制作胶束,囊泡;RGD-PEG-DSPE形成的脂质体可以直接作用于**靶点,形成主动靶向效果
产品推荐:
PLA5000-mPEG3400
聚乳酸-聚乙二醇
PLA-mPE
甲氧基聚乙二醇-聚乳酸
PLA-mPEG(PLA,DL型)
甲氧基PEG聚乳酸
DSPE-PEG-FA, MW:2000
叶酸PEG磷脂
DSPE-PEG-FA
西安齐岳生物科技有限公司提供各种复杂的PEG衍生物定制服务,各种特殊基因,各种特殊蛋白或分子的偶联。




齐岳微信公众号
官方微信
库存查询