1236288-25-7 DSPE-PEG-Folate 磷脂-聚乙二醇-叶酸 DSPE-PEG-FA
发布时间:2023-06-07  作者:LYQ  分享到:
产品名称:
DSPE-PEG-FA, MW:2000 磷脂聚乙二醇叶酸
英文名称:DSPE-PEG-Folate DSPE-PEG2000-FA
中文名称:磷脂-聚乙二醇-叶酸
CAS No. : 1236288-25-7
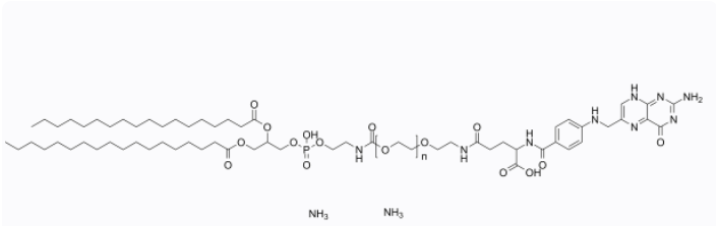
结构式:

DSPE-PEG-Folate (MW 3350) 是一种含有叶酸的 PEG 衍生物。DSPE-PEG-Folate 具有靶向作用并能与癌细胞中的叶酸受体结合。DSPE-PEG-Folate 形成胶束/脂质双层,可用于靶向给药系统的研究。
包装: 瓶装
产地:西安
温馨提示:本品仅适用于科研实验!
产品推荐:
DSPE-SESE-PEG-NHS
磷脂-双硒键-聚乙二醇-活性酯
NHS-PEG-SeSe-DSPE
活性酯聚乙二醇双硒键磷脂
mPEG2000-b-PLGA5000,50/50
聚乳酸羟基乙酸共聚物
mPEG-b-PLGA





齐岳微信公众号
官方微信
库存查询