DSPE-SS-mPEG 磷脂双硫键聚乙二醇 DSPE-S-S-mPEG
发布时间:2023-06-07     作者:LYQ   分享到:
产品名称:
DSPE-SS-mPEG2000磷脂双硫键甲氧基聚乙二醇
英文名称:DSPE-SS-mPEGDSPE-S-S-mPEG
中文名称:磷脂双硫键聚乙二醇
【性状】
白色/类白色至浅黄色半固体或固体(外观取决于分子量)
【保存】
干燥;-20℃保存
【溶解性】
温水或CH3Cl
【产品描述】
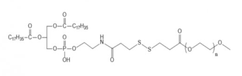
聚乙二醇化的磷脂是长循环脂质体制备的常用材料,我们在磷脂和聚乙二醇之间用双硫键链接,当二硫键S-S遇到还原型物质二硫苏糖醇(DTT)时快速断键,加速释放药物。
产品结构式:

相关产品:
DMG-PEG2K-Chitosan
二肉豆蔻酰PEG壳聚糖
Chitosan-PEG-DMG
壳聚糖聚乙二醇二肉豆蔻酰
DSPE-PEG2000-WLSEAGPVVTVRALRGTGSW
磷脂聚乙二醇靶向肽
DSPE-PEG-WLSEAGPVVTVRALRGTGSW
磷脂-聚乙二醇-靶向肽
DSPE-PEG2K-WLSEAGPVVTVRALRGTGSW
产地:西安
包装:瓶装
厂家:西安齐岳生物科技有限公司
温馨提示:仅适用于科研实验,不可用于人体!




齐岳微信公众号
官方微信
库存查询