DSPE-PEG-RGD 磷脂-聚乙二醇-多肽 DSPE-PEG2000-RGD
发布时间:2023-06-07  作者:LYQ  分享到:
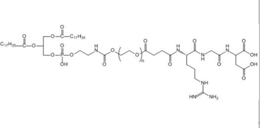
DSPE-PEG-RGD,RGD是由精氨酸(Arg)、甘氨酸(Gly)、天冬氨酸(Asp)3个氨基酸组成的序列肽,是近几年来发现的具有高生物活性的短肽序列之一。RGD肽作为整合素和其配体相互作用的识别位点,介导细胞与细胞外基质及细胞间的黏附作用,同时具有信号传导功能。聚乙二醇(PEG)偶联的DSPE具有亲水性,可用于药物递送、基因转染和生物分子修饰。
产品名称:
DSPE-PEG2000-RGD 磷脂聚乙二醇多肽
英文名称:DSPE-PEG-RGD DSPE-PEG2000-RGD
中文名称:磷脂-聚乙二醇-多肽
用途:用于医学研究,药物释放,纳米技术和新材料研究。
纯度:≥97%
取用:现配现用
存储条件:-20°冷冻保存,惰性气体保护
产品结构式:

产地:西安
包装:瓶装
厂家:西安齐岳生物科技有限公司
温馨提示:仅适用于科研实验,不可用于人体!
相关产品:
磷酸三苯酯PEG羧基
TPP-PEG-carboxyl
磷酸三苯酯聚乙二醇羧酸
TPP-PEG2000-carboxyl
磷酸三苯酯PEG羧酸
PCL20K-PEG2K-TAT
聚已内酯-聚乙二醇偶联-TAT CARMIL1




齐岳微信公众号
官方微信
库存查询