DMG-PEG DMG-PEG2000 磷脂聚乙二醇 DMG-PEG2K
发布时间:2023-06-07  作者:LYQ  分享到:
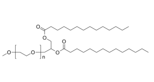
产品名称:
DMG-PEG2000 1,2-二肉豆蔻酰-rac-甘油-3-聚乙二醇
英文名称:DMG-PEG DMG-PEG2K
中文名称:磷脂聚乙二醇
稳定性:干燥避光条件下冷冻保存,避免反复冻融。
存储条件:-20°C,避光,避湿
分子量(PEG):其他分子量或规格可定制
稳定性:常温常压下稳定
产品结构式:

产地:西安
包装:瓶装
厂家:西安齐岳生物科技有限公司
温馨提示:仅适用于科研实验,不可用于人体!
相关产品:
磷脂PEG转铁蛋白
DSPE-PEG2K-TF
转铁蛋白PEG磷脂
Transferrin-PEG-DSPE
转铁蛋白聚乙二醇磷脂
DOPE-PEG1k-FITC
磷脂聚乙二醇荧光素
DSPE-PEG-FITC
磷脂(Phospholipid),也称磷脂类、磷脂质,是指含有磷酸的脂类,属于复合脂。磷脂是组成生物膜的主要成分,分为甘油磷脂与鞘磷脂两大类,分别由甘油和鞘氨醇构成。




齐岳微信公众号
官方微信
库存查询