NHS-SS-PEG-Biotin 活性酯二硫键聚乙二醇生物素 NHS-SS-PEG2K-Biotin
发布时间:2023-06-07  作者:LYQ  分享到:
产品名称:
NHS-SS-PEG2000-生物素 活性酯双硫键聚乙二醇生物素
英文名称:NHS-SS-PEG-Biotin NHS-SS-PEG2K-Biotin
中文名称:活性酯二硫键聚乙二醇生物素
PDI:1.05max
含量:95%+
分子量:1K,2K,3.4K,3.5K,4K,5K,10K,20K,40K等(接受定制)
储存条件:-25±5ºC下惰性气体封存,尽量避免反复解冻
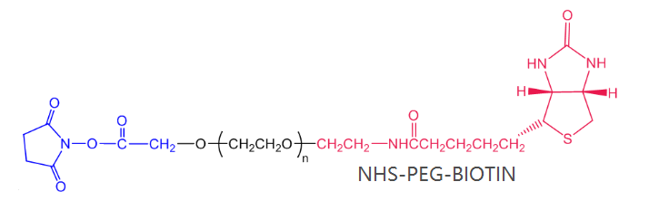
产品结构式:

产地:西安
包装:瓶装
厂家:西安齐岳生物科技有限公司
温馨提示:仅适用于科研实验,不可用于人体!
相关产品:
磷脂-聚乙二醇-荧光素
DSPE-PEG2000-FITC
磷脂PEG荧光素
DSPE-PEG2K-FITC
荧光素PEG磷脂
FITC-PEG-DSPE
荧光染料聚乙二醇磷脂
Biotin-PEG-NHS 是生物素PEG衍生物的一种,生物素和链霉亲和素具有很好的亲和力,生物素容易与蛋白质和核酸类等生物大分子结合,形成的生物素衍生物,不仅保持了大分子物质的原有生物活性,而且比恬度高,具多价性。




齐岳微信公众号
官方微信
库存查询