DSPE-PEG-RGD 磷脂-聚乙二醇-多肽 DSPE-PEG2000-RGD
发布时间:2023-06-07  作者:LYQ  分享到:
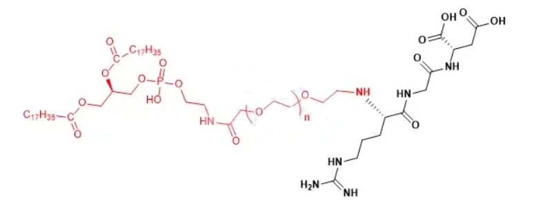
结构式:

RGD-PEG-DSPE 线肽RGD聚乙二醇磷脂可用于胶束、囊泡的被动靶向,主动靶向研究和用于药物输送。DSPE(1,2-二硬脂酰-sn-甘油-3-磷酸乙醇胺)是一种饱和的18碳磷脂,常用于脂质体的合成。
产品名称:
DSPE-PEG-RGD,MW:2000 磷脂聚乙二醇多肽
英文名称:DSPE-PEG-RGD DSPE-PEG2000-RGD
中文名称:磷脂-聚乙二醇-多肽
溶解性:
溶于大部分有机溶剂,如:DCM、DMF、DMSO、THF等等。在水中有很好的溶解性
外观:粘性液体或固体粉末,取决于分子量
分子量(PEG):根据客户需求定制
产地:西安
包装:瓶装
厂家:西安齐岳生物科技有限公司
温馨提示:仅适用于科研实验,不可用于人体!
相关产品:
DSPE-PEG-Cy7
磷脂-聚乙二醇-花菁染料Cy7
DSPE-PEG2000-Cy7
磷脂PEG花菁染料Cy7
DSPE-PEG2K-Cy7
花青素Cy7PEG磷脂
Cy7-PEG-DSPE
荧光染料Cy7聚乙二醇磷脂




齐岳微信公众号
官方微信
库存查询