CAS:474922-26-4 DSPE-PEG-NH2 磷脂-聚乙二醇-氨基 DSPE-PEG-Amine
发布时间:2023-06-07  作者:LYQ  分享到:
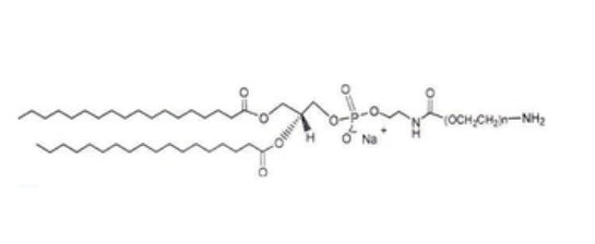
结构式:

DSPE- peg - nh2是一种线性异双功能聚乙二醇化试剂与DSPE磷脂和胺。DSPE-PEG-NH2用于修饰脂质体表面含有胺反应基团的生物分子(NHS,硫酸盐)。
它是一种用于制备接枝或聚乙二醇化脂质体或胶束的有用的自组装试剂,同时也提供了用于生物偶联的胺基。
产品名称:
DSPE-PEG2000-NH2 磷脂聚乙二醇氨基
英文名称:DSPE-PEG-NH2 DSPE-PEG-Amine
中文名称:磷脂-聚乙二醇-氨基
CAS:474922-26-4
产地:西安
包装:瓶装
厂家:西安齐岳生物科技有限公司
温馨提示:仅适用于科研实验,不可用于人体!
相关产品:
Folate-PEG-NHS
叶酸PEG活性酯
FA-PEG-NHS
叶酸-聚乙二醇-活性酯
NHS-PEG-FA
活性酯聚乙二醇叶酸




齐岳微信公众号
官方微信
库存查询