DSPE-PEG-MAL 磷脂-聚乙二醇-马来酰亚胺 DSPE-PEG-Maleimide
发布时间:2023-06-07  作者:LYQ  分享到:
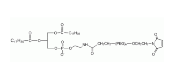
结构式:

产品名称:
DSPE-PEG2000-MAL 磷脂聚乙二醇马来酰亚胺
英文名称:DSPE-PEG-MAL DSPE-PEG-Maleimide
中文名称:磷脂-聚乙二醇-马来酰亚胺
DSPE-PEG(2000)马来酰亚胺适用于与光子敏感细胞穿透肽(psCPP)偶联制备纳米结构脂质载体。它也适用于非共价官能化氧化的多壁碳纳米管(O-MWCN)。
1,2-二硬脂酰-sn-甘油-3-磷酸乙醇胺(DSPE)偶联聚乙二醇,DSPE-PEG是一种兼具亲水性和疏水性的磷脂-PEG偶联物。
产地:西安
包装:瓶装
厂家:西安齐岳生物科技有限公司
温馨提示:仅适用于科研实验,不可用于人体!
相关产品:
NHS-PEG-Folate
活性酯PEG叶酸
DSPE-PEG5K
磷脂聚乙二醇
DSPE-PEG2000
聚乙二醇磷脂
DSPE-PEG2K




齐岳微信公众号
官方微信
库存查询