DSPE-PEG DSPE-PEG5K 磷脂聚乙二醇 DSPE-PEG5000
发布时间:2023-06-08     作者:LYQ   分享到:
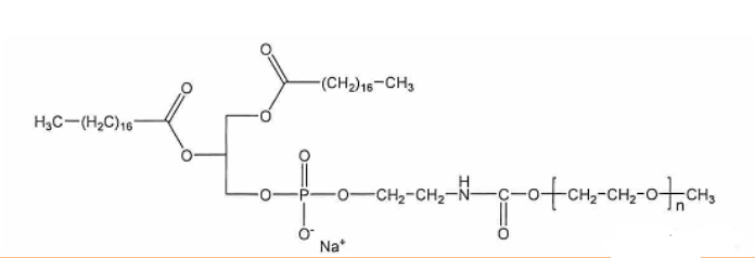
产品名称:
DSPE-PEG5K
英文名称:DSPE-PEG5000 DSPE-PEG
中文名称:磷脂聚乙二醇
分子量:5719
分子式:C266H530O122P
适用领域:脂质体
描述:
DSPE-PEG是一种磷脂聚合物偶联物,可用于药物传递应用。DSPE-PEG是一种用于制备纳米载体的材料,用于延长血液循环时间、提高稳定性和提高封装效率
结构式:

包装:瓶装
产地:西安
相关产品:
Glucose-PEG-NHS
活性酯聚乙二醇葡萄糖
NHS-PEG5000-Glucose
葡萄糖PEG活性酯
NHS-PEG-Glucose
葡萄糖聚乙二醇活性酯
PLGA2000-SS-PEG-Glu
厂家:西安齐岳生物科技有限公司
温馨提示:仅适用于科研实验,不可用于人体!




齐岳微信公众号
官方微信
库存查询