DSPE-PEG5000 磷脂聚乙二醇 DSPE-PEG DSPE-PEG5K
发布时间:2023-06-08     作者:LYQ   分享到:
产品名称:
DSPE-PEG5000
英文名称:DSPE-PEG DSPE-PEG5K
中文名称:磷脂聚乙二醇
端基取代率:≥95%
稳定性:干燥避光条件下冷冻保存,避免反复冻融。
存储条件:-20°C,避光,避湿
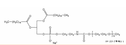
结构式:

包装:瓶装
产地:西安
相关产品:
壳聚糖聚乙二醇岩藻糖
Chitosan-PEG-岩藻糖d-(+)-fucose
壳聚糖-聚乙二醇-岩藻糖
D-(+)-Fucose-PEG-Chitosan
岩藻糖聚乙二醇壳聚糖
Chitosan-PEG2000-D-(+)-Fucose
岩藻糖PEG壳聚糖
厂家:西安齐岳生物科技有限公司
温馨提示:仅适用于科研实验,不可用于人体!




齐岳微信公众号
官方微信
库存查询