DSPE-PEG-DBCO 二苯并环辛炔修饰聚乙二醇PE磷脂 DSPE-PEG2000-DBCO
发布时间:2023-06-08  作者:LYQ  分享到:
产品名称:
DSPE-PEG2000-DBCO 二苯并环辛炔修饰聚乙二醇PE磷脂
英文名称:DSPE-PEG-DBCO DSPE-PEG-DBCO MW:2000
中文名称:磷脂聚乙二醇二苯并环辛炔
外观:粘性液体或固体粉末,取决于分子量
分子量(PEG):根据客户需求定制
注意事项:在干燥的环境中取用,避免频繁的溶解和冻干
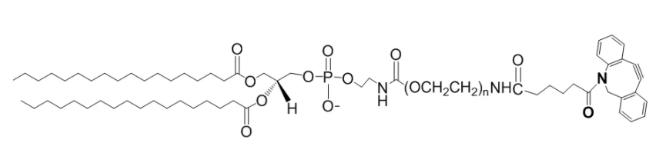
结构式:

DSPE-PEG-DBCO是一种磷脂PEG衍生物,用于脂质体制备,磷脂化聚乙二醇结合具有亲水性和疏水性,聚乙二醇磷脂脂质体形成材料,能够用于输送、基因转染和疫苗传递。聚乙二醇化磷脂可以明显的改善血循环时间和稳定封装。 炔基功能化PEG可以和含有叠氮的材料在铜离子的催化下反应。 DBCO功能化PEG可以和含有叠氮的材料在无铜离子的催化下反应,也叫做无铜点击反应。
包装:瓶装
产地:西安
相关产品:
DSPE-PEG2000-RGD
磷脂聚乙二醇多肽
DSPE-PEG-RGD
磷脂-聚乙二醇-多肽
DSPE-PEG2000-RGD
磷脂PEG多肽
DSPE-PEG2K-RGD
厂家:西安齐岳生物科技有限公司
温馨提示:仅适用于科研实验,不可用于人体!




齐岳微信公众号
官方微信
库存查询