LA-PEG-NHS 硫辛酸-聚乙二醇1000-活性酯 Lipoic acid-PEG1000-NHS
发布时间:2023-06-08  作者:LYQ  分享到:
产品名称:
Lipoic acid-PEG1000-NHS 硫辛酸-聚乙二醇1000-活性酯
英文名称:LA-PEG-NHS LA-PEG2K-NHS
中文名称:硫辛酸聚乙二醇2000活性酯
产品详情:
硫辛酸PEG活性酯(LA-PEG-NHS)可以用来修饰蛋白质、多肽以及其他活性基团材料或者小分子。
活性酯(-NHS)能与氨基(-NH2)反应的PEG衍生物,在PH7-8.5与伯胺基团反应形成稳定的酰胺键。
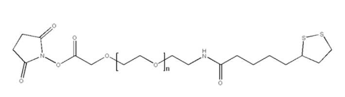
结构式:

包装:瓶装
产地:西安
相关产品:
磷脂-双硫键-聚乙二醇-活性酯
DSPE-SS-PEG-NHS
磷脂双硫键PEG活性酯
DSPE-SS-PEG3400-NHS
活性酯聚乙二醇双硫键磷脂
DSPE-PEG-SH,MW:2000
磷脂聚乙二醇巯基
厂家:西安齐岳生物科技有限公司
温馨提示:仅适用于科研实验,不可用于人体!




齐岳微信公众号
官方微信
库存查询