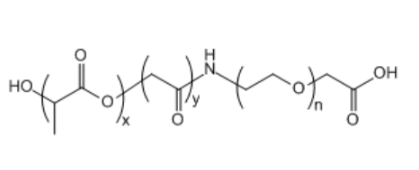
PLGA-PEG-COOH 聚乳酸羟基乙酸共聚物-聚乙二醇-羧基 Acid-PEG3400-PLGA
发布时间:2023-06-09  作者:zyl  分享到:
中文名称:聚(乳酸-共-乙醇酸)(40K)-聚乙二醇-羧基
英文名称:PLGA(40K)-PEG-COOH
产品纯度:≥95%
储存方式:-5°C以下保存,干燥,避光
分子量:常规分子量或定制
状态:白色固体或粘稠液体,取决于分子量大小
溶解性:溶于大部分有机溶剂,溶于水
注意事项:在干燥的环境中取用,避免频繁的溶解和冻干

西安齐岳生物科技有限公司是集化学科研和定制与一体的高科技化学公司。业务范围包括化学试剂和产品的研发、生产、销售等。涉及产品为通用试剂的分销、非通用试剂的定制与研发,涵盖生物科技、精细化学品、中间体和化工材料等领域。与多家品牌深度合作,渠道广阔,主营产品:原料药,天然产物,COF、MOF单体系列:三蝶烯衍生物、金刚烷衍生物、四苯甲烷衍生物、peg、上转换、石墨烯、光电材料、点击化学、凝集素、载玻片、蛋白质交联剂、脂质体、蛋白、多肽、氨基酸、糖化学等。
相关产品:
PEG-PLGA
PEG-TK-PLGA
cas:816-94-4
DSPE-PEG-Biotin
磷脂-聚乙二醇-crgd细胞穿膜肽
PLL-PEG-NHS
Azide-PEG-DSPE
油酸修饰复合氧化物铁酸锰或偏铁酸锰
DSPE-PEG-CY7,MW:3400/5000
氨基聚乙二醇磷脂
二棕榈酸磷脂酰胆碱
二硬脂酰基磷脂酰乙醇胺-聚乙二醇2000
磷脂-聚乙二醇-多肽
CAS号132172-61-3
CAS:4004-05-1
异硫氰酸荧光素标记牛血清白蛋白




齐岳微信公众号
官方微信
库存查询