齐岳生物|UDP 糖|UDP-glucose
发布时间:2021-12-10  作者:UDP-glucose  分享到:
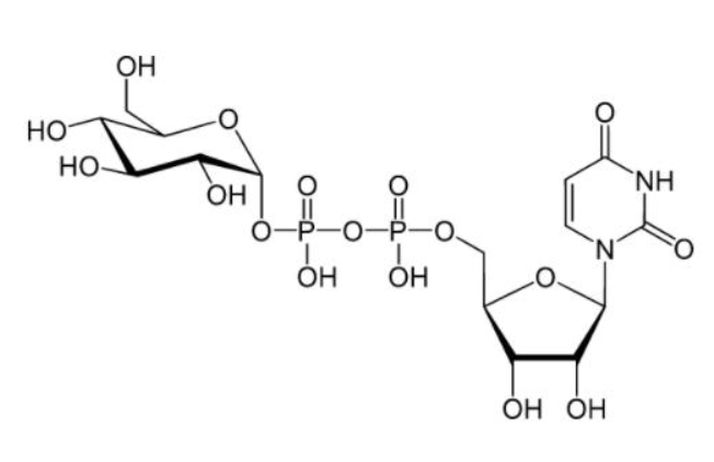
UDP-glucose焦磷酸化酶2 (UGP2)是合成UDP-glucose的酶,位于多种代谢途径的汇聚处,但UGP2在**维持和**代谢中的作用尚不清楚。
在这里,我们发现在体外和体内**模型中,UGP2在维持胰管腺**(PDAC)生长中发挥重要作用。
我们发现UGP2的转录受到Yes-associated protein 1 (YAP) -TEA转录因子(TEAD)复合物的直接调控,确定UGP2是真正的YAP靶基因。UGP2的缺失导致细胞内糖原水平下降和n -糖基化靶点缺陷,而UDP-glucose基化靶点对PDACs的生存至关重要,包括表皮生长因子受体(EGFR)。
UGP2在**维持、代谢和蛋白糖基化中的重要作用可能为其他顽固性PDACs的**方案提供见解。

西安齐岳生物科技有限公司是国内光电材料,纳米材料,聚合物;化学试剂供应商;**于科研试剂的研发生产销售。供应有机发光材料(聚集诱导发光材料)和发光探针(磷脂探针和酶探针)、碳量子点、金属纳米簇;嵌段共聚物等一系列产品。sjl2012/12/10




齐岳微信公众号
官方微信
库存查询