齐岳生物|酞菁简介
发布时间:2021-12-10  作者:酞菁  分享到:
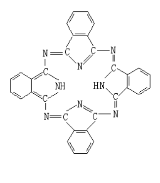
酞菁是一种分子式为4h2的大型芳香大环有机化合物,
酞菁在化学染料和光电领域具有理论或特殊意义。
酞菁由四个由氮原子环连接的异吲哚单元组成。
4H2 = H2Pc具有二维几何结构和由18 π-电子组成的环状系统。
π-电子的广泛离域性使分子具有有用的性质,使其在染料和颜料中得到应用。
Pc²毒血症(H2Pc的结合碱)衍生出的金属配合物,在催化、有机太阳能电池和光动力疗法方面都有价值。

西安齐岳生物科技有限公司是国内光电材料,纳米材料,聚合物;化学试剂供应商;**于科研试剂的研发生产销售。供应有机发光材料(聚集诱导发光材料)和发光探针(磷脂探针和酶探针)、碳量子点、金属纳米簇;嵌段共聚物等一系列产品。sjl2012/12/10




齐岳微信公众号
官方微信
库存查询