4 arm-PEG-BIOTIN 四臂-聚乙二醇-生物素 4 arm-PEG2000-BIOTIN
发布时间:2023-06-09  作者:LYQ  分享到:
产品名称:
4 arm-PEG2000-BIOTIN 四臂-聚乙二醇-生物素
英文名称:4 arm-PEG-BIOTIN 4 arm-PEG2K-BIOTIN
中文名称:四臂PEG生物素,多臂PEG衍生物
质量控制:95%+
存储条件:-20°C,避光,避湿
外 观:粘稠液体或者固体粉末,取决于分子量
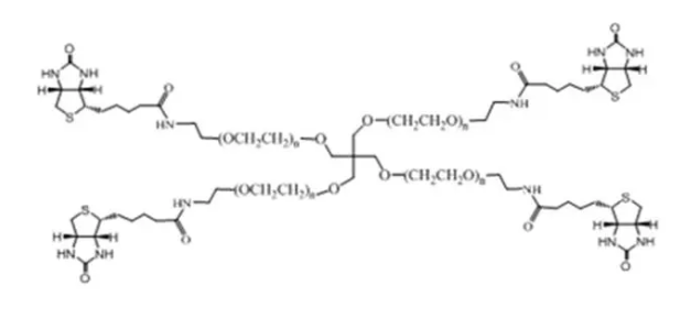
结构式:

四臂PEG生物素是一种多臂PEG衍生物,四臂的每个末端都有生物素基团连接到一个季戊四醇核心。
包装:瓶装
产地:西安
厂家:西安齐岳生物科技有限公司
温馨提示:仅适用于科研实验,不可用于人体!
相关产品:
DSPE-SS-mPEG
磷脂双硫键聚乙二醇
DSPE-S-S-mPEG
磷脂二硫键甲氧基聚乙二醇
DSPE-S-S-mPEG2000
磷脂二硫键聚乙二醇
DSPE-PEG2K-WGA




齐岳微信公众号
官方微信
库存查询