胆固醇-PEG2000-mal 胆固醇-聚乙二醇-马来酰亚胺 Cholesterol-PEG-MAL
发布时间:2023-06-12  作者:LYQ  分享到:
描述:
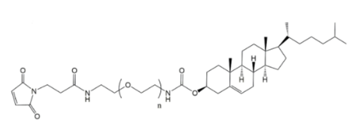
胆固醇PEG马来酰亚胺(Cholesterol-PEG-MAL)可以用来修饰蛋白质、多肽以及其他材料或者小分子。马来酰亚胺(MAL)与巯基(-SH)在PH6.5-7.5很容易形成稳定的硫醚键。
PEG修饰可提高溶解度和稳定性,减少蛋白质和肽的免疫原性。它也能抑制带电分子在修饰表面的非特异性结合。
英文名称:
Cholesterol-PEG-MAL
中文名称:
胆固醇-PEG2000-mal
胆固醇-聚乙二醇-马来酰亚胺
别名:
胆固醇聚乙二醇马来酰亚胺
MAL-PEG-Cholesterol
胆固醇PEG马来酰亚胺
结构式:

包装:瓶装
生产地:西安
供应商:西安齐岳生物科技有限公司
温馨提示:本公司所提供的产品仅用于科研实验,不可用于人体!
相关产品:
甲基丙烯酸酯-聚乙二醇-聚肌氨酸
MA-poly aspartic acid
MA-PEG-PASP
甲基丙烯酸酯-聚乙二醇-聚天冬氨酸
MA-Poly(L-Glutamic acid)
MA-PEG-PGA
MA-His




齐岳微信公众号
官方微信
库存查询