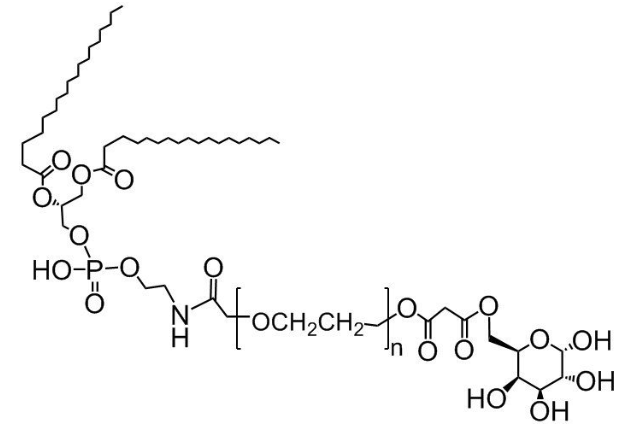
DSPE-PEG2000-半乳糖 磷脂聚乙二醇半乳糖 DSPE-PEG-galactose
发布时间:2023-06-12     作者:LYQ   分享到:
【产品说明】
对脂质体表面行聚乙二醇修饰后,得到长循环脂质体可以延长脂质体的半衰期和提高它在血液循环中的稳定性、改变脂质体的生物学分布,并具有靶向性。

英文名称:
DSPE-PEG2000-半乳糖
DSPE-PEG-galactose
中文名称:
磷脂聚乙二醇半乳糖
别名:
半乳糖聚乙二醇磷脂
DSPE-PEG-Galactose
包装:瓶装
生产地:西安
供应商:西安齐岳生物科技有限公司
温馨提示:本公司所提供的产品仅用于科研实验,不可用于人体!
相关产品:
IA-PEG-folic acid
碘乙酸盐-聚乙二醇-叶酸
IA-Multi-Arms (4 arm 8arm)
碘乙酸盐-聚乙二醇-多臂PEG
IA-Protected Amines (FMOC, tBOC)
IA-CHEMS
碘乙酸盐-聚乙二醇-半琥珀酸胆固醇
IA-Phenyl




齐岳微信公众号
官方微信
库存查询