DSPE-PEG-FA DSPE-PEG2000-FA 叶酸PEG2000磷脂
发布时间:2023-06-12     作者:LYQ   分享到:
基本信息:
DSPE-PEG2000-FA
叶酸PEG2000磷脂
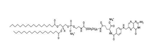
结构式:

磷脂聚乙二醇叶酸(DSPE-PEG-FA),羧基与氨基生成酰胺键,这个反应使得叶酸配体附着在蛋白质 肽或颗粒表面。
聚乙二醇化叶酸具有较好的水溶性和生物活性。
叶酸功能化底物已被用于靶向给药、成像和生物测定的开发。DSPE(1,2-二硬脂酰-sn-甘油-3-磷酸乙醇胺)是一种饱和的18碳磷脂,常用于脂质体的合成。
包装:瓶装
生产地:西安
供应商:西安齐岳生物科技有限公司
温馨提示:本公司所提供的产品仅用于科研实验,不可用于人体!
相关产品:
碘乙酸盐-聚乙二醇-烟酸
IA-Isothiocyanate
IA-PEG-ITC
碘乙酸盐-聚乙二醇-异硫氰酸盐
IA-Isocyanate
IA-PEG-ISC
碘乙酸盐-聚乙二醇-异氰酸酯
IA-Dansyl




齐岳微信公众号
官方微信
库存查询