PLL(20)-g[3.5]-PEG(2) 聚赖氨酸纵向偶联聚乙二醇
发布时间:2023-06-13     作者:LYQ   分享到:
英文名称:
PLL(20)-g[3.5]-PEG(2)
聚赖氨酸纵向偶联聚乙二醇
基本信息:
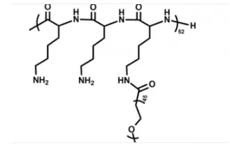
分子量20指的是PLL分子量为20K,2指的是PEG分子量2K,g[3.5]是指20个赖氨酸重复单元中有5个接枝PEG
CAS N/A
溶解度 溶解于水,DMSO等溶剂
结构式:

包装:瓶装
生产地:西安
相关产品:
磷脂聚乙二醇多肽cRGDfk
DPPE-PEG2000-cRGDfk
多肽聚乙二醇磷脂
PEG10k-b-PS10k
聚苯乙烯聚乙二醇 嵌段共聚物
PEG-b-PS
聚丙乙烯聚乙二醇
PEG-PS
聚乙二醇聚丙乙烯
供应商:西安齐岳生物科技有限公司
温馨提示:本公司所提供的产品仅用于科研实验,不可用于人体!
![PLL(20)-g[3.5]-PEG(2) 聚赖氨酸纵向偶联聚乙二醇-UDP糖丨MOF丨金属有机框架丨聚集诱导发光丨推荐西安齐岳生物](/images/logo.png)



齐岳微信公众号
官方微信
库存查询